O triângulo é uma figura geométrica plana formada por três lados, que pode ser de diversos tipos, a depender do tamanho dos lados e da medida dos ângulos. Questões sobre a área do triângulo caem bastante nos vestibulares e no Enem e uma preparação com exercícios sobre isso é essencial para ir bem nas provas.
Elas costumam cobrar tanto o valor da área quanto dos vértices dos triângulos, variando informações e exigindo uma boa interpretação dos enunciados.
Por isso, se acostumar a este tipo de cobrança vai te ajudar muito. A seguir, veja um resumo sobre como calcular a área do triângulo e exercícios para fixar o conteúdo.
Como calcular a área do triângulo?
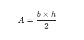
A fórmula básica de cálculo da área do triângulo é (b*h)/2, onde b é a base e h, a altura do triângulo. Contudo, os tipos de triângulo podem exigir fórmulas diferentes, principalmente porque nem sempre temos todas as informações fornecidas pela questão.
Área do triângulo retângulo
No triângulo retângulo, os dois catetos funcionam como base e altura, pois são perpendiculares entre si.
Assim, a fórmula fica:

Área do triângulo equilátero
O triângulo equilátero tem todos os lados iguais e ângulos de 60°.
A fórmula para calcular sua área é:
, onde l é o comprimento do lado.
Área do triângulo Isósceles
O triângulo isósceles tem dois lados iguais. Para calcular sua área, você precisa encontrar a altura – que divide a base ao meio.

Em que h = √a²-(b/2)²
Área do triângulo escaleno
O triângulo escaleno tem todos os lados diferentes, e nem sempre é possível determinar a altura facilmente.
Nesse caso, usamos a fórmula de Heron:
Calcule o semiperímetro (p):
p = (a+b+c)/2
Substitua na fórmula:
A=√p(p−a)(p−b)(p−c)
A fórmula de Heron pode ser utilizada em exercícios sobre a área do triângulo de qualquer tipo.
Exercícios sobre área do triângulo
Agora que você já viu o resumo da área do triângulo, teste seus conhecimentos com os exercícios de fixação que separamos.
Questão 01 – (Enem Reaplicação, 2020) Pretende-se comprar uma mesa capaz de acomodar 6 pessoas, de modo que, assentadas em torno da mesa, cada pessoa disponha de, pelo menos, 60 cm de espaço livre na borda do tampo da mesa, que deverá ter a menor área possível. Na loja visitada há mesas com tampos nas formas e dimensões especificadas:
• Mesa I: hexágono regular, com lados medindo 60 cm;
• Mesa II: retângulo, com lados medindo 130 cm e 60 cm;
• Mesa III: retângulo, com lados medindo 120 cm e 60 cm;
• Mesa IV: quadrado, com lados medindo 60 cm;
• Mesa V: triângulo equilátero, com lados medindo 120 cm.
A mesa que atende aos critérios especificados é a
a) I.
b) II.
c) III.
d) IV.
e) V.
Questão 02 – (PUC-Rio, 2023) O triângulo ABC tem vértices A = (a, 0), B = (2, 2) e C = (0, 4). Sabe-se que a área do triângulo ABC é igual a 3. Sabendo-se que a 1, o que se pode deduzir sobre o valor de a?
a) a = 7.
b) a = 8.
c) a = 9.
d) a = 10.
e) a = 11.
Questão 03 – (PUC-Rio, 2021) Um triângulo equilátero de lado a tem o triplo da área de um triângulo equilátero de lado b. Assinale a opção correta.
a) 𝑎 = 3𝑏.
b) 𝑏 = 3𝑎.
c) 𝑎 = 𝑏√3.
d) 𝑏 = 𝑎√3.
Questão 04 – (Cefet/RJ – 2014) Se ABC é um triângulo tal que AB = 3 cm e BC = 4cm, podemos afirmar que a sua área, em cm2, é um número:
a) no máximo igual a 9
b) no máximo igual a 8
c) no máximo igual a 7
d) no máximo igual a 6
Questão 05 – (PUC/RIO – 2007) A hipotenusa de um triângulo retângulo mede 10 cm e o perímetro mede 22 cm. A área do triângulo (em cm²) é:
a) 50
b) 4
c) 11
d) 15
e) 7
Uau! Você fez 5 exercícios sobre área do triângulo seguidos. Você é fera! Agora confira quantos acertou com o gabarito.
Gabarito dos exercícios sobre área do triângulo
Confira agora as respostas aos exercícios sobre bacias hidrográficas. Espero que você tenha ido muito bem!
Lembre-se que as atividades ajudam a memorizar o conteúdo e fazer boas avaliações. E no final existe uma pontuação para saber como está seu conhecimento!
Exercício resolvido da questão 1 –
Alternativa correta: letra e) V.
Exercício resolvido da questão 2 –
alternativa correta: letra a) a = 7.
Exercício resolvido da questão 3 –
Alternativa correta: letra c) 𝑎 = 𝑏√3.
Exercício resolvido da questão 4 –
Alternativa correta: letra d) no máximo igual a 6
Exercício resolvido da questão 5 –
Alternativa correta: letra c) 11
Estude para o Enem com o Simulado Beduka. É gratuito!
Gostou da nossa seleção de exercícios sobre área do triângulo? Compartilhe com os seus amigos e comente abaixo quantas você acertou!





